Question #178303

In a manufacturing process, a transparent film is being bonded to a substrate as shown in the sketch. To cure the bond at a temperature "To", a radiant source is used to provide a heat flux, all of which is absorbed at the bonded surface. The back of the substrate is maintained at T1 while the free surface of the film is exposed to air at a certain temperature shown below with a corresponding heat transfer coefficient h. Given the values below, determine the required heat flux to maintain bonded surface temperature at 60C (answer in W/m2)


1

Expert's answer

2021-04-12T01:54:49-0400


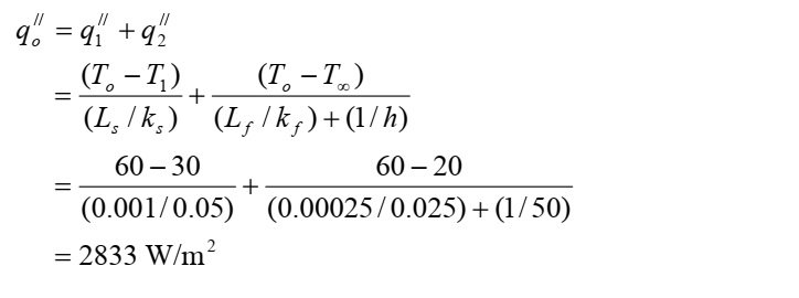
Given data: A radiant source is used to provide a heat flux at the bond to cure the bond at a

temperature To.

Assumptions:

(a) Steady-state conditions.

(b) Constant properties.

(c) One-dimensional conduction heat transfer.

(d) Neglect the contact resistance.

Thermal circuit based on heat flux distribution represented below.



Using this thermal circuit and performing energy balance on film-substrate interface,


Need a fast expert's response?

Submit order

and get a quick answer at the best price

for any assignment or question with DETAILED EXPLANATIONS!

Comments

No comments. Be the first!
LATEST TUTORIALS
APPROVED BY CLIENTS