Question #276942

A three-process cycle of an ideal gas, for which Cp = 1.064 and C₁ = 0.804 kJ/kgm.K, is initiated by an isentropic compression 1-2 from 103.4 kPa, 27°C to 608.1 kPa. A constant volume process 2-3 and a polytropic 3-1 with n = 1.2 complete the cycle. Circulation is a steady rate of 0.905 kgm/s, compute (a)QA, (b) WNET, (c) e, and (d) pm.

1

Expert's answer

2021-12-08T13:49:03-0500


the adiabatic index of the ideal gas at process 1-2 is



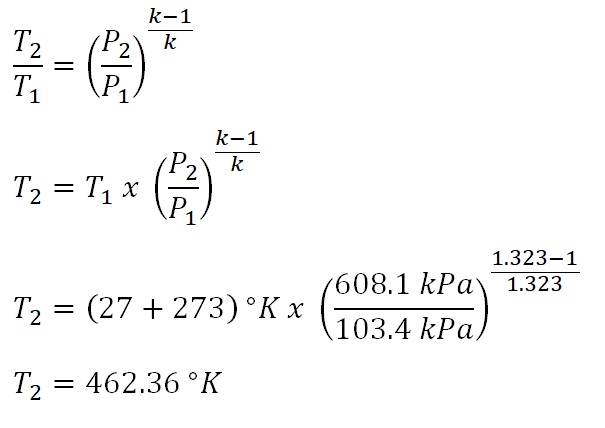
The temperature at the end of isentropic compression (T2) of process 1-2



The gas constant of the ideal gas (R) can be obtained since we are provided with the data for cp and the cv


The volume at beginning of isentropic compression (V1) can be obtained using the formula for the universal gas constant



The volume at the end of isentropic compression (V2) which can be obtained using the relations of pressure (P) and volume (V) in an isentropic process



Since process 2-3 is a constant volume process, thus V2 is just equal to V3.

The temperature at the beginning of process 2-3 (T3) can be obtained using the polytropic relation of temperature (T) and volume (V)



The polytropic specific heat capacity of the ideal gas (cn)



So starting with Process 1-2, for isentropic process, there exists no transfer of heat. Thus heat added is equal to zero. Q1-2 = 0

Next is Process 2-3, for isometric process, the computation of heat goes like this



Upon computation we have obtain a heat that is equal to -51.10 kJ/s and that negative sign indicates that the heat is being rejected and is being done by the ideal gas.

Finally, Process 3-1, for polytropic process, the computation for the heat goes like this:



Based on the above computation, the heat during the polytropic process is equal to 41.20 kJ/s and that means that it is the heat being added to the cycle. Thus the heat being transferred to the cycle is equal to 41.20 kJ/s.

Since we have obtained the values of the heat being added and being rejected during the cycle, we can directly obtain the net work done by the cycle. And the computation goes like this:



The negative sign since that indicates that the work is being by the ideal gas to the surrounding.

Since we have obtain the necessary parameters for the computation of the cycle efficiency (e), we will substitute it directly to formula and the computation goes like this:



For the mean effective pressure, we can just directly substitute the values of the volumes (V1 and V2) and the WN to the general formula. And the computation goes like this:


Need a fast expert's response?

Submit order

and get a quick answer at the best price

for any assignment or question with DETAILED EXPLANATIONS!

Comments

No comments. Be the first!
LATEST TUTORIALS
APPROVED BY CLIENTS