Question #76764

1 . Answer ALL parts a) — c).
a) Use the principles of Valence Shell Electron Pair Repulsion (VSEPR) to predict the structures of the following species.

XeF2; [XeF3]+; XeF4

b) Some of the halogens form oxo-acids in which their oxidation state is +7. Comment briefly on the observations that:
i) fluorine does not form a compound of this type;
ii) the compounds of iodine (H5IO6) and chlOrine (HCIO4) have different structures.

2 。Draw the structure of the following coordination compounds and determine the oxidation state, da nt electronic configuration, ( t2 gm eg” Or emt2" configuration and the spin only magnetic moment of the metal atom.
i) [CO(H2O )6]2+
ii) [Fe(ox)s]3-, ox = oxalate dianion, C2O42-

iii) [Ni(en)3]2+ , en = 1,2-diaminoethane
1

Expert's answer

2018-05-04T07:28:37-0400

Answer on Question #76764, Chemistry / Inorganic Chemistry

1. Answer ALL parts a) — c).

a) Use the principles of Valence Shell Electron Pair Repulsion (VSEPR) to predict the structures of the following species.

XeF2; [XeF3]+; XeF4

b) Some of the halogens form oxo-acids in which their oxidation state is +7. Comment briefly on the observations that:

i) fluorine does not form a compound of this type;

ii) the compounds of iodine (H5IO6) and chlorine (HClO4) have different structures.

2. Draw the structure of the following coordination compounds and determine the oxidation state, da nt electronic configuration, ( t2 gm eg" Or emt2" configuration and the spin only magnetic moment of the metal atom.

i) [CO(H2O)6]2+

ii) [Fe(ox)s]3-, ox = oxalate dianion, C2O42-

iii) [Ni(en)3]2+, en = 1,2-diaminoethane

Solution

1) a) Use the principles of Valence Shell Electron Pair Repulsion (VSEPR) to predict the structures of the following species.

XeF2; [XeF3]+; XeF4

a) The main principle VSEPR theory is that the geometry of the molecule is determined by the repulsions among the electron pairs in the valence shell of its central atom. We should determine the number of bonding and lone pairs to establish the molecular geometry. These electron pairs of the valence shell must be at maximum distances from each other.

- XeF₂

Find the number of electron pairs around central atom:

Xe has 8 valence electrons: [Kr]4d¹⁰⁵s²⁵p⁶, every atom of F has 7 valence electrons: [He]2s²²p⁵, as we have two atoms of F the number of valence electrons should be multiplied by two (7·2 = 14). Total number is 22.

Lewis structure of XeF₂ is :

There are two bonding pairs and three lone pairs around central atom of Xe Structure of XeF 2_2 in VSEPR theory is:



Molecular geometry: Linear.

[XeF3]+\left[\mathrm{XeF}_{3}\right]^{+}

Find the number of electron pairs around central atom:

Xe has 8 valence electrons: [Kr]4d105s25p6\left[\mathrm{Kr}\right]4d^{10}5s^{2}5p^{6} , every atom of F has 7 valence electrons: [He]2s22p5\left[\mathrm{He}\right]2s^{2}2p^{5} , as we have three atoms of F the number of valence electrons should be multiplied by three (73=21)(7\cdot 3 = 21) . The molecule [XeF3]+\left[\mathrm{XeF}_{3}\right]^{+} has positive charge, that means we should take away one electron. Total number is 8+731=288 + 7\cdot 3 - 1 = 28 .

Lewis structure of [XeF3]+\left[\mathrm{XeF}_{3}\right]^{+} is :



There are three bonding pairs and two lone pairs around central atom of Xe Structure of [XeF3]+\left[\mathrm{XeF}_{3}\right]^{+} in VSEPR theory is:



Molecular geometry is: T-shape

XeF4\mathrm{XeF}_4

Find the number of electron pairs around central atom:

Xe has 8 valence electrons: [Kr]4d105s25p6\left[\mathrm{Kr}\right]4\mathrm{d}^{10}5\mathrm{s}^{2}5\mathrm{p}^{6} , every atom of F has 7 valence electrons: [He]2s22p5\left[\mathrm{He}\right]2\mathrm{s}^{2}2\mathrm{p}^{5} , as we have four atoms of F the number of valence electrons should be multiplied by four(7·4 = 28). Total number is 36.

Lewis structure of XeF4\mathrm{XeF_4} is :



There are four bonding pairs and two lone pairs around central atom of Xe

Structure of XeF4\mathrm{XeF_4} in VSEPR theory is:



Molecular geometry is: Square planar.

b) Some of the halogens form oxo-acids in which their oxidation state is +7+7 . Comment briefly on the observations that:

i) fluorine does not form a compound of this type;

ii) the compounds of iodine (H5IO6) and chlorine (HClO4) have different structures

To answer this question we should take into account electronic structures of halogens and their radii.

Electronic structures:

F [He]2s²2p⁵

Cl [Ne]3s²3p⁵

Br [Ar]3d¹⁰4s²4p⁵

I [Kr]4d¹⁰5s²5p⁵

i) Fluorine can not form oxo-acids in which it's oxidation state is +7, as to have such an oxidation state atom of F should come up in exited state and have 7 lone electrons. But fluorine has 2 energy levels, where only s and p orbitals are allowed, there are no d orbitals where lone electrons can be placed. The other halogens have vacant d-orbitals, where lone electrons can be placed. For this reason Cl, Br and I can have oxidation state +7.

ii) Structure of HClO4\mathsf{HClO}_4


Structure of H5IO6\mathsf{H}_5\mathsf{IO}_6


Iodine can form both HIO4\mathrm{HIO_4} and H5IO6\mathrm{H}_5\mathrm{IO}_6 structures where it's oxidation state is +7+7 . The last acid H5IO6\mathrm{H}_5\mathrm{IO}_6 can be formed due to the increase of iodine radius in comparison with radii of Cl and Br and consequently increase of coordination number from 4 to 6.

2. Draw the structure of the following coordination compounds and determine the oxidation state, da nt electronic configuration, ( t2 gm eg" Or emt2" configuration and the spin only magnetic moment of the metal atom.

i) [CO(H2O)6]2+[\mathrm{CO}(\mathrm{H}2\mathrm{O})6]2+

ii) [Fe(ox)s]3[\mathrm{Fe}(\mathrm{ox})\mathrm{s}]3- , ox = oxalate dianion, C2O42-

iii) [Ni(en)3]2+[\mathrm{Ni}(\mathrm{en})3]2+ , en = 1,2-diaminoethane

i) Structure of [Co(H2O)6]2+\left[\mathrm{Co}\left(\mathrm{H}_{2} \mathrm{O}\right)_{6}\right]^{2+}


The electron configuration of Cobalt is : [Ar] 3d74s23\mathrm{d}^{7}4\mathrm{s}^{2}

Oxidation state of cobalt in [Co(H2O)6]2+\left[\mathrm{Co}\left(\mathrm{H}_{2} \mathrm{O}\right)_{6}\right]^{2+} is Co2+\mathrm{Co}^{2+} , as H2O\mathrm{H}_{2} \mathrm{O} ligands have no charge.

d7\mathrm{d}^7 electronic configuration, as atom of Co looses two electrons to become an ion Co2+\mathrm{Co}^{2+} .

The complex [Co(H2O)6]2+\left[\mathrm{Co}\left(\mathrm{H}_{2} \mathrm{O}\right)_{6}\right]^{2+} has an octahedral shape. H2O\mathrm{H}_{2} \mathrm{O} is a weak field ligand, consequently, complex [Co(H2O)6]2+\left[\mathrm{Co}\left(\mathrm{H}_{2} \mathrm{O}\right)_{6}\right]^{2+} is high spin, splitting energy Δ0\Delta_{0} is small.

Splitting d-orbital diagram of [Co(H2O)6]2+\left[\mathrm{Co}\left(\mathrm{H}_{2} \mathrm{O}\right)_{6}\right]^{2+} is: t2g5eg2t_{2g}^{5} e_{g}^{2}


This complex is paramagnetic as it has three lone electrons.

Find the spin-only magnetic moment of this complex using formula, based on the number of unpaired electrons nn :


μso=n(n+2)\mu_ {s o} = \sqrt {n (n + 2)}


For complex [Co(H2O)6]2+\left[\mathrm{Co}\left(\mathrm{H}_{2} \mathrm{O}\right)_{6}\right]^{2+} μso=3(3+2)=15=3.87μB\mu_{so} = \sqrt{3(3 + 2)} = \sqrt{15} = 3.87 \mu_{B}

ii) Structure of [Fe(ox)3]3\left[\mathrm{Fe}(\mathrm{ox})_{3}\right]^{3-} , ox=\mathrm{ox} = oxalate dianion, C2O42\mathrm{C}_{2} \mathrm{O}_{4}^{2-}


The electron configuration of Iron is : [Ar] 3d64s23d^{6}4s^{2}

Oxidation state of Iron in [Fe(ox)3]3\left[\mathrm{Fe}(\mathrm{ox})_{3}\right]^{3-} is Fe3+\mathrm{Fe}^{3+} , as each of, C2O42\mathrm{C}_{2} \mathrm{O}_{4}^{2-} ligands has two negative charges and charge of the complex is -3: (+3+3(2)=3)(+3 + 3 - (-2) = -3) .

d5\mathrm{d}^5 electronic configuration, as atom of Fe looses three electrons to become an ion Fe3+\mathrm{Fe}^{3+} .

The complex [Fe(ox)3]3\left[\mathrm{Fe}(\mathrm{ox})_{3}\right]^{3-} has an octahedral shape. C2O42\mathrm{C}_{2} \mathrm{O}_{4}^{2-} or ox is a weak field ligand, consequently, complex C2O42\mathrm{C}_{2} \mathrm{O}_{4}^{2-} is high spin, splitting energy Δ0\Delta_{0} is small.

Splitting d-orbital diagram of [Fe(ox)3]3\left[\mathrm{Fe}(\mathrm{ox})_{3}\right]^{3-} is: t2g3eg2t_{2g}^{3} e_{g}^{2}


This complex is paramagnetic as it has five lone electrons.


μso=n(n+2)\mu_{so} = \sqrt{n(n + 2)}


For complex [Fe(ox)3]3μso=5(5+2)=35=5.92μB\left[\mathrm{Fe}(\mathrm{ox})_{3}\right]^{3-} \mu_{so} = \sqrt{5(5 + 2)} = \sqrt{35} = 5.92 \mu_{B}

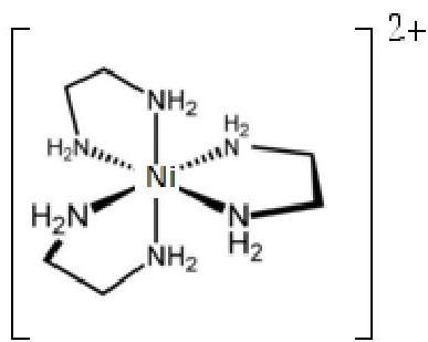
iii) Structure of [Ni(en)3]2+\left[\mathrm{Ni}(\mathrm{en})_{3}\right]^{2+}, en = 1,2-diaminoethane



The electron configuration of Nickel is: [Ar] 3d84s23d^{8}4s^{2}

Oxidation state of Nickel in [Ni(en)3]2+\left[\mathrm{Ni}(\mathrm{en})_{3}\right]^{2+}, is Ni2+\mathrm{Ni}^{2+}, as en ligands have no charge.

d8d^{8} electronic configuration, as atom of Ni looses two electrons to become an ion Ni2+\mathrm{Ni}^{2+}.

The complex [Ni(en)3]2+\left[\mathrm{Ni}(\mathrm{en})_{3}\right]^{2+} has an octahedral shape, en is a strong field ligand, but the appropriate crystal field diagram shows that only one configuration is possible irrespective of the strength of the ligand field.

Splitting d-orbital diagram of [Ni(en)3]2+\left[\mathrm{Ni}(\mathrm{en})_{3}\right]^{2+} is: t2g6eg2t_{2g}^{6}e_g^{2}


This complex is paramagnetic as it has at two lone electrons.


μso=n(n+2)\mu_{so} = \sqrt{n(n + 2)}


For complex [Ni(en)3]2+μso=2(2+2)=8=2.83μB\left[\mathrm{Ni}(\mathrm{en})_{3}\right]^{2+} \mu_{so} = \sqrt{2(2 + 2)} = \sqrt{8} = 2.83 \mu_{B}

Answer provided by AssignmentExpert.com


Need a fast expert's response?

Submit order

and get a quick answer at the best price

for any assignment or question with DETAILED EXPLANATIONS!

Comments

No comments. Be the first!
LATEST TUTORIALS
APPROVED BY CLIENTS