Question #68969

1. A sample of krypton gas at a pressure of 1.01 atm and a temperature of 29.8 °C, occupies a volume of 11.7 liters. If the gas is compressed at constant temperature to a volume of 6.67 liters, the pressure of the gas sample will be __ atm.

2. A sample of neon gas at a pressure of 0.963 atm and a temperature of 23.5 °C, occupies a volume of 621 mL. If the gas is allowed to expand at constant temperature until its pressure is 0.660 atm, the volume of the gas sample will be mL.

3. A sample of krypton gas at a pressure of 800 mm Hg and a temperature of 32 °C, occupies a volume of 14.8 liters. If the gas is cooled at constant pressure to a temperature of 6 °C, the volume of the gas sample will be L.

4. A sample of neon gas at a pressure of 0.782 atm and a temperature of 244 °C, occupies a volume of 558 mL. If the gas is heated at constant pressure until its volume is 727 mL, the temperature of the gas sample will be °C.
1

Expert's answer

2017-06-20T08:52:10-0400

Answer on Question #68969 - Physics | Molecular Physics

1. A sample of krypton gas at a pressure of 1.01 atm and a temperature of 29.8C29.8{}^{\circ}\mathrm{C} , occupies a volume of 11.7 liters. If the gas is compressed at constant temperature to a volume of 6.67 liters, the pressure of the gas sample will be __ atm.

Solution:

Given:

P(VT)=1.01P(V_{T}) = 1.01 atm

T=29.8CT = 29.8{}^{\circ}C

V=11.7IV = 11.7\mathrm{I}

V1=6.67IV_{1} = 6.67\mathrm{I}

T=const

P1?P_{1} - ?

PV=P1V1P_{V} = P_{1}V_{1} , where P1=PVV1P_{1} = \frac{PV}{V_{1}}

P1=1.0111.76.67=1.77P_{1} = \frac{1.01 \cdot 11.7}{6.67} = 1.77 atm.

Answer: 1.77 atm.

2. A sample of neon gas at a pressure of 0.963 atm and a temperature of 23.5C23.5{}^{\circ}\mathrm{C} , occupies a volume of 621 mL. If the gas is allowed to expand at constant temperature until its pressure is 0.660 atm, the volume of the gas sample will be mL.

Solution:

Given:

P(VT)=23.5CP(V_{T}) = 23.5{}^{\circ}C

V=621mlV = 621\mathrm{ml}

P1=0.660P_{1} = 0.660 atm

T=const

V1?V_{1} - ?

PV=P1V1P_{V} = P_{1}V_{1} , where V1=PVP1V_{1} = \frac{PV}{P_{1}}

V1=0.9636210.66=906mlV_{1} = \frac{0.963 \cdot 621}{0.66} = 906 \, \text{ml}

Answer: 906 ml.

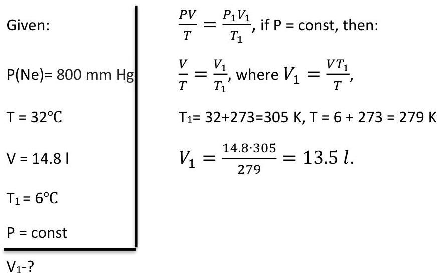
3. A sample of krypton gas at a pressure of 800mmHg800\mathrm{mmHg} and a temperature of 32C32{}^{\circ}\mathrm{C} , occupies a volume of 14.8 liters. If the gas is cooled at constant pressure to a temperature of 6C6{}^{\circ}\mathrm{C} , the volume of the gas sample will be L.

Solution:



Answer: 13.5 l.

4. A sample of neon gas at a pressure of 0.782 atm and a temperature of 244C244{}^{\circ}\mathrm{C} , occupies a volume of 558 mL. If the gas is heated at constant pressure until its volume is 727 mL, the temperature of the gas sample will be C{}^\circ \mathrm{C} .

Solution:



Answer: 400 °C.

Answer provided by www.AssignmentExpert.com


Need a fast expert's response?

Submit order

and get a quick answer at the best price

for any assignment or question with DETAILED EXPLANATIONS!

Comments

No comments. Be the first!
LATEST TUTORIALS
APPROVED BY CLIENTS