Answer on Question #63908, Physics / Mechanics | Relativity
**Problem:** The resultant of two forces of 628 grams and 532 grams is a force of 718 grams. Find the angle which the resultant makes with the forces.
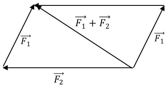
**Solution:** Let us denote
∣ F 1 → ∣ = 532 g , ∣ F 2 → ∣ = 628 g , ∣ F 1 → + F 2 → ∣ = 718 g \left| \overrightarrow {F _ {1}} \right| = 5 3 2 g, \left| \overrightarrow {F _ {2}} \right| = 6 2 8 g, \left| \overrightarrow {F _ {1}} + \overrightarrow {F _ {2}} \right| = 7 1 8 g ∣ ∣ F 1 ∣ ∣ = 532 g , ∣ ∣ F 2 ∣ ∣ = 628 g , ∣ ∣ F 1 + F 2 ∣ ∣ = 718 g
Angle between F 2 → \overrightarrow{F_2} F 2 and F 1 → + F 2 → \overrightarrow{F_1} + \overrightarrow{F_2} F 1 + F 2 α \alpha α , angle between F 1 → \overrightarrow{F_1} F 1 and F 1 → + F 2 → \overrightarrow{F_1} + \overrightarrow{F_2} F 1 + F 2 β \beta β .
Using cosine rule for triangles ( F 1 → ; F 2 → ; F 1 → + F 2 → ) \left(\overrightarrow{F_1}; \overrightarrow{F_2}; \overrightarrow{F_1} + \overrightarrow{F_2}\right) ( F 1 ; F 2 ; F 1 + F 2 ) and ( F 2 → ; F 2 → + F 1 → ; F 1 → ) \left(\overrightarrow{F_2}; \overrightarrow{F_2} + \overrightarrow{F_1}; \overrightarrow{F_1}\right) ( F 2 ; F 2 + F 1 ; F 1 )
cos α = ∣ F 1 → + F 2 → ∣ 2 + ∣ F 2 → ∣ 2 − ∣ F 1 → ∣ 2 2 ⋅ ∣ F 1 → + F 2 → ∣ ⋅ ∣ F 2 → ∣ \cos \alpha = \frac {\left| \overrightarrow {F _ {1}} + \overrightarrow {F _ {2}} \right| ^ {2} + \left| \overrightarrow {F _ {2}} \right| ^ {2} - \left| \overrightarrow {F _ {1}} \right| ^ {2}}{2 \cdot \left| \overrightarrow {F _ {1}} + \overrightarrow {F _ {2}} \right| \cdot \left| \overrightarrow {F _ {2}} \right|} cos α = 2 ⋅ ∣ ∣ F 1 + F 2 ∣ ∣ ⋅ ∣ ∣ F 2 ∣ ∣ ∣ ∣ F 1 + F 2 ∣ ∣ 2 + ∣ ∣ F 2 ∣ ∣ 2 − ∣ ∣ F 1 ∣ ∣ 2 cos β = ∣ F 1 → + F 2 → ∣ 2 + ∣ F 1 → ∣ 2 − ∣ F 2 → ∣ 2 2 ⋅ ∣ F 1 → + F 2 → ∣ ⋅ ∣ F 1 → ∣ \cos \beta = \frac {\left| \overrightarrow {F _ {1}} + \overrightarrow {F _ {2}} \right| ^ {2} + \left| \overrightarrow {F _ {1}} \right| ^ {2} - \left| \overrightarrow {F _ {2}} \right| ^ {2}}{2 \cdot \left| \overrightarrow {F _ {1}} + \overrightarrow {F _ {2}} \right| \cdot \left| \overrightarrow {F _ {1}} \right|} cos β = 2 ⋅ ∣ ∣ F 1 + F 2 ∣ ∣ ⋅ ∣ ∣ F 1 ∣ ∣ ∣ ∣ F 1 + F 2 ∣ ∣ 2 + ∣ ∣ F 1 ∣ ∣ 2 − ∣ ∣ F 2 ∣ ∣ 2
Derive final formula for angles:
α = arccos ( ∣ F 1 → + F 2 → ∣ 2 + ∣ F 2 → ∣ 2 − ∣ F 1 → ∣ 2 2 ⋅ ∣ F 1 → + F 2 → ∣ ⋅ ∣ F 2 → ∣ ) = arccos ( 71 8 2 + 62 8 2 − 53 2 2 2 ⋅ 718 ⋅ 628 ) = arccos 0.6951 = 46 ∘ \alpha = \arccos \left(\frac {\left| \overrightarrow {F _ {1}} + \overrightarrow {F _ {2}} \right| ^ {2} + \left| \overrightarrow {F _ {2}} \right| ^ {2} - \left| \overrightarrow {F _ {1}} \right| ^ {2}}{2 \cdot \left| \overrightarrow {F _ {1}} + \overrightarrow {F _ {2}} \right| \cdot \left| \overrightarrow {F _ {2}} \right|}\right) = \arccos \left(\frac {7 1 8 ^ {2} + 6 2 8 ^ {2} - 5 3 2 ^ {2}}{2 \cdot 7 1 8 \cdot 6 2 8}\right) = \arccos 0. 6 9 5 1 = 4 6 {}^ {\circ} α = arccos ⎝ ⎛ 2 ⋅ ∣ ∣ F 1 + F 2 ∣ ∣ ⋅ ∣ ∣ F 2 ∣ ∣ ∣ ∣ F 1 + F 2 ∣ ∣ 2 + ∣ ∣ F 2 ∣ ∣ 2 − ∣ ∣ F 1 ∣ ∣ 2 ⎠ ⎞ = arccos ( 2 ⋅ 718 ⋅ 628 71 8 2 + 62 8 2 − 53 2 2 ) = arccos 0.6951 = 46 ∘ β = arccos ( ∣ F 1 → + F 2 → ∣ 2 + ∣ F 1 → ∣ 2 − ∣ F 2 → ∣ 2 2 ⋅ ∣ F 1 → + F 2 → ∣ ⋅ ∣ F 1 → ∣ ) = arccos ( 71 8 2 + 53 2 2 − 62 8 2 2 ⋅ 718 ⋅ 532 ) = arccos 0.529 = 58 ∘ \beta = \arccos \left(\frac {\left| \overrightarrow {F _ {1}} + \overrightarrow {F _ {2}} \right| ^ {2} + \left| \overrightarrow {F _ {1}} \right| ^ {2} - \left| \overrightarrow {F _ {2}} \right| ^ {2}}{2 \cdot \left| \overrightarrow {F _ {1}} + \overrightarrow {F _ {2}} \right| \cdot \left| \overrightarrow {F _ {1}} \right|}\right) = \arccos \left(\frac {7 1 8 ^ {2} + 5 3 2 ^ {2} - 6 2 8 ^ {2}}{2 \cdot 7 1 8 \cdot 5 3 2}\right) = \arccos 0. 5 2 9 = 5 8 {}^ {\circ} β = arccos ⎝ ⎛ 2 ⋅ ∣ ∣ F 1 + F 2 ∣ ∣ ⋅ ∣ ∣ F 1 ∣ ∣ ∣ ∣ F 1 + F 2 ∣ ∣ 2 + ∣ ∣ F 1 ∣ ∣ 2 − ∣ ∣ F 2 ∣ ∣ 2 ⎠ ⎞ = arccos ( 2 ⋅ 718 ⋅ 532 71 8 2 + 53 2 2 − 62 8 2 ) = arccos 0.529 = 58 ∘
**Answer:** Angle between F 2 → \overrightarrow{F_2} F 2 and F 1 → + F 2 → \overrightarrow{F_1} + \overrightarrow{F_2} F 1 + F 2 α = 46 ∘ \alpha = 46{}^{\circ} α = 46 ∘ , angle between F 1 → \overrightarrow{F_1} F 1 and F 1 → + F 2 → \overrightarrow{F_1} + \overrightarrow{F_2} F 1 + F 2 β = 58 ∘ \beta = 58{}^{\circ} β = 58 ∘
https://www.AssignmentExpert.com
Comments