Answer on Question #80352 – Math – Quantitative Methods
Question
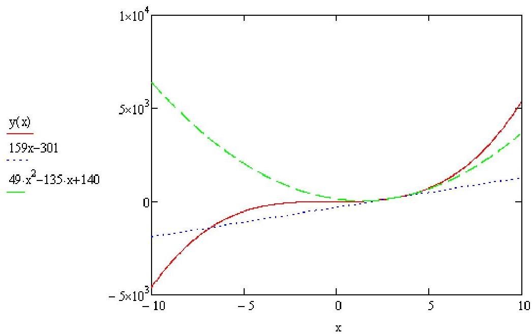
For the equation y=5+4x2+5x3
(a) Find the equation for the linear approximation when x=3.
(b) Find the equation for the quadratic approximation, also when x=3.
Solution
(a) The tangent line to the function for x=3 is the linear approximation:
L(x)=y(3)+y′(3)(x−3)y(3)=5+4⋅32+5⋅33=176y′(x)=8x+15x2→y′(3)=159L(x)=176+159(x−3)=159x−301
(b) The quadratic approximation also uses the point x=3 to approximate nearby values, but uses a parabola instead of just a tangent line:
Q(x)=y(3)+y′(3)(x−3)+21y′′(3)(x−3)2=L(x)+21y′′(3)(x−3)2y′′(x)=8+30x→y′′(3)=98Q(x)=159x−301+2198(x−3)2=49x2−135x+140
Answer provided by https://www.AssignmentExpert.com
Comments