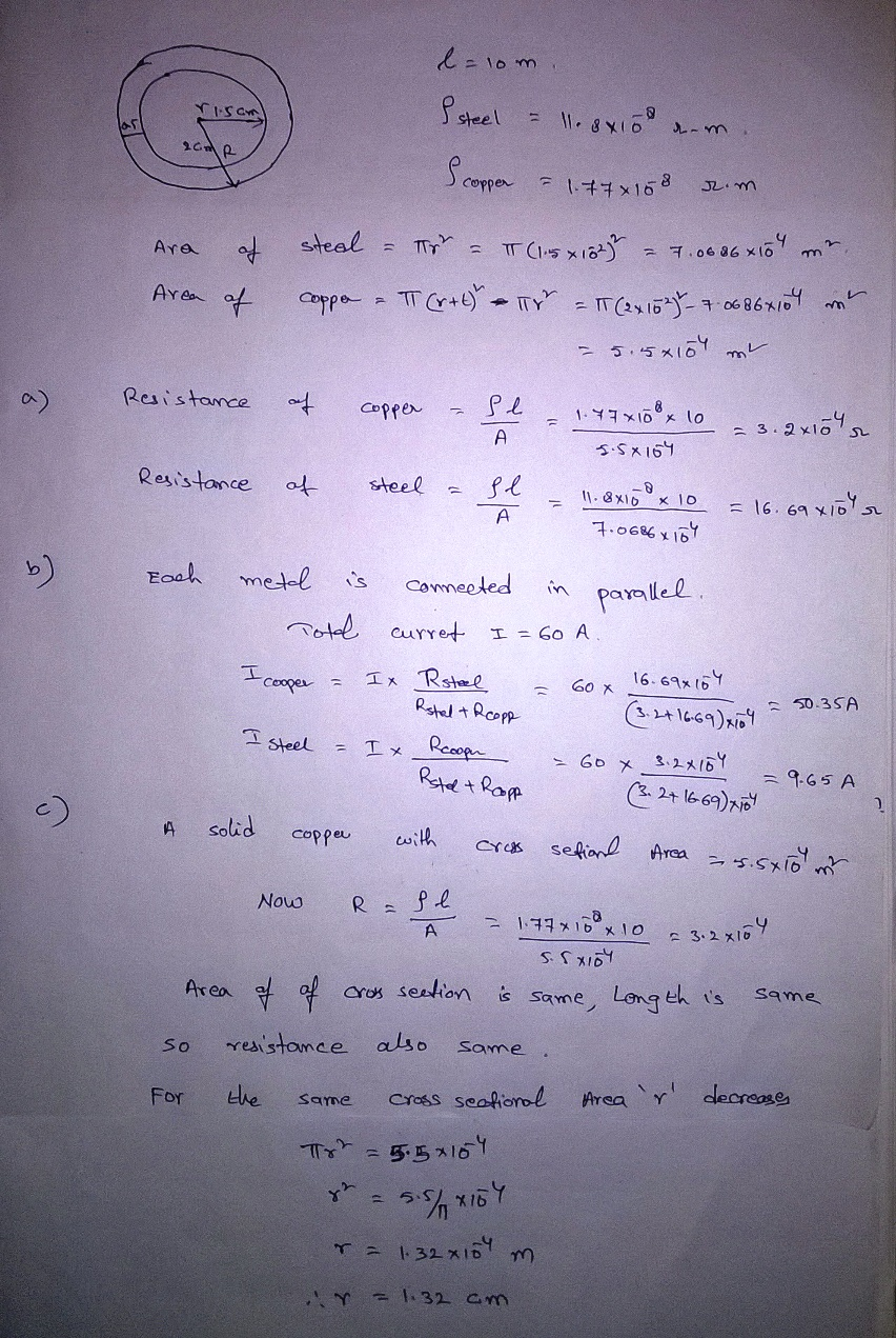
Question #136583

A composite conductor 10 m long consists of an inner core of steel of radius 1.5 cm and an outer sheath of copper whose thickness is 0.5 cm. Take the resistivities of copper and steel as 1.77 * 10-8 and 11.8 * 10-8 ohm m respectively. Determine the resistance of the conductor. If the total current in the conductor is 60 Amperes, what current flows in each metal? Find the resistance of a solid copper conductor of the same length and cross-sectional areas of the sheath.


1

Expert's answer

2020-10-04T09:26:09-0400

The answer to your question is provided in the image:

Need a fast expert's response?

Submit order

and get a quick answer at the best price

for any assignment or question with DETAILED EXPLANATIONS!

Comments

No comments. Be the first!
LATEST TUTORIALS
APPROVED BY CLIENTS