Question #280621

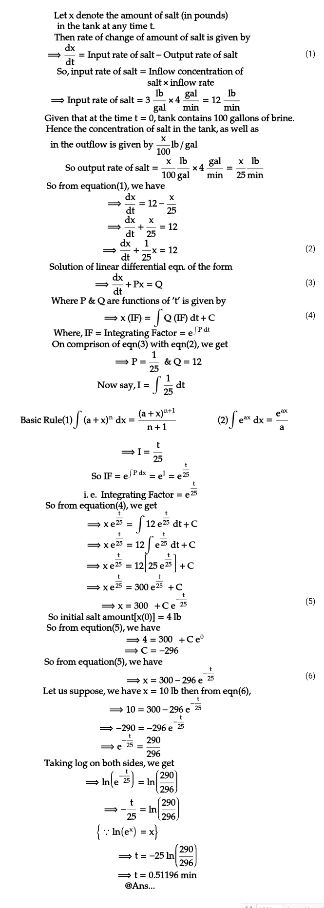
Initially a tank holds 100 gal of a brine solution containing 4 lb of salt. At t = 0, brine containing 3 lbs of salt per gal is poured into the tank at the rate of 4 gal/min, while the wellstirred mixture leaves the tank at the rate of 4 gal/min. How long will it take for the tank to contain 10 lb of salt?

1

Expert's answer

2021-12-22T03:06:02-0500

The answer to your question is provided in the image:

Need a fast expert's response?

Submit order

and get a quick answer at the best price

for any assignment or question with DETAILED EXPLANATIONS!

Comments

No comments. Be the first!
LATEST TUTORIALS
APPROVED BY CLIENTS