Question #40090

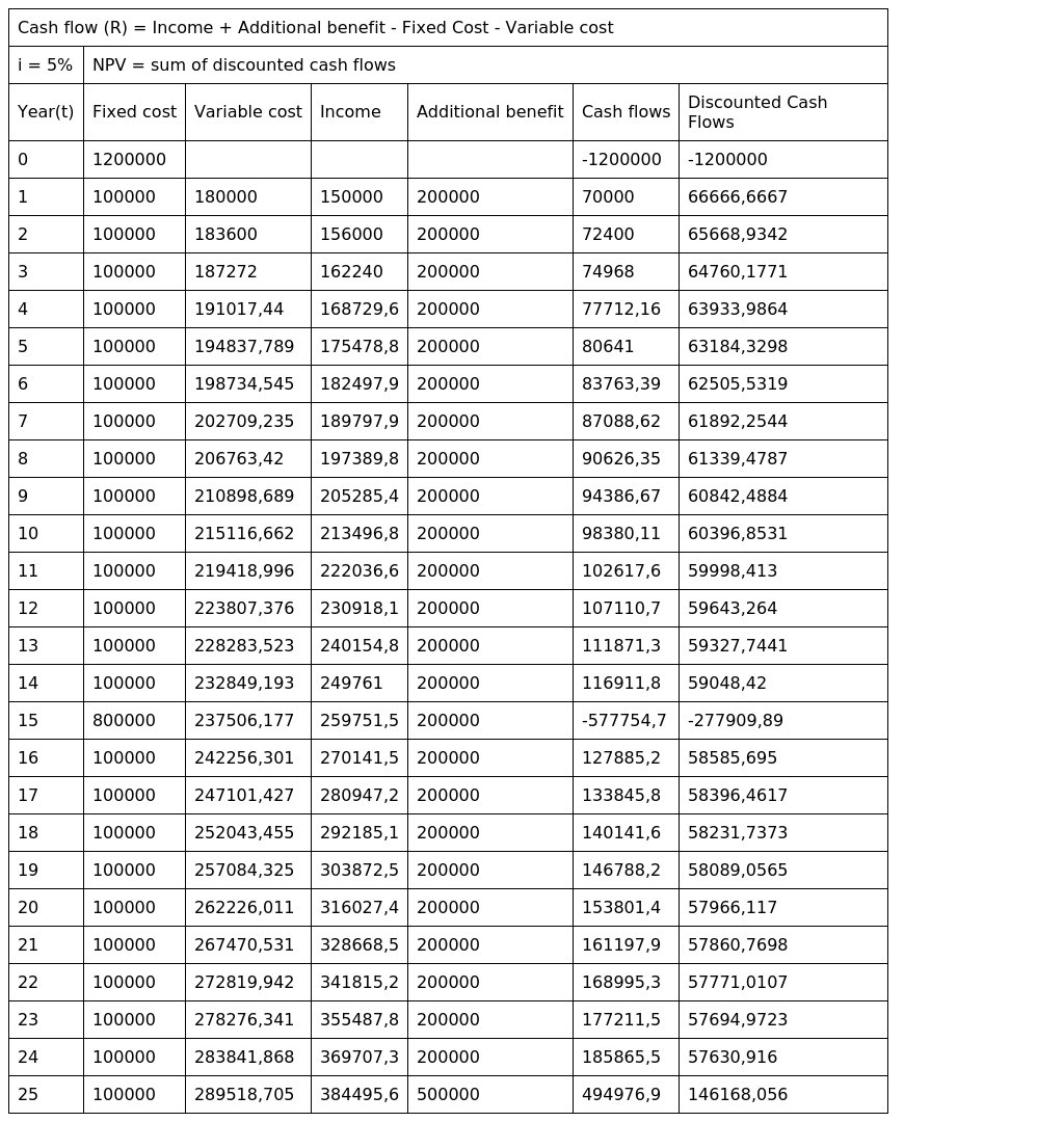
The city of Middleville is considering offering public bus service. Setting up the service will cost the city $1.2M (where M stands for million). The useful life of the buses is 25 years. Annual maintenance of the buses would cost $100,000 per year and they would need a major overhaul in year 15 that will cost a total of $700,000. This overhaul is in addition to the annual maintenance. Annual labor and administrative costs will begin at $180,000 in year 1 and grow at 2% per year thereafter. The buses will generate a revenue of $150,000 in year 1 and it will grow at 4% per year thereafter. Reduced parking requirements and other benefits generated by the project will save the city $200,000/year. The salvage value (price the city can get in the future after maintenance) of the used buses in year 25 is expected to be $300,000. What is the NPV of the bus proposal? The city does not pay taxes and the discount rate is 5%.

A:
1) 59693
2) -82207
3) 257413
4) 1381432
1

Expert's answer

2014-03-18T11:05:17-0400

In finance, the net present value (NPV) of a time series of cash flows, both incoming and outgoing, is defined as the sum of the present values (PVs) of the individual cash flows of the same entity.

In the case when all future cash flows are incoming (such as coupons and principal of a bond) and the only outflow of cash is the purchase price, the NPV is simply the PV of future cash flows minus the purchase price (which is its own PV). NPV is a central tool in discounted cash flow (DCF) analysis and is a standard method for using the time value of money to appraise long-term projects. Used for capital budgeting and widely used throughout economics, finance, and accounting, it measures the excess or shortfall of cash flows, in present value terms, above the cost of funds.

NPV can be described as the "difference amount" between the sums of discounted: cash inflows and cash outflows. It compares the present value of money today to the present value of money in the future, taking inflation and returns into account.


NPV(i,N)=t=0NRt(1+i)t\mathrm {N P V} (i, N) = \sum_ {t = 0} ^ {N} \frac {R _ {t}}{(1 + i) ^ {t}}


NPV = 59693.44

So, the answer is A.

Need a fast expert's response?

Submit order

and get a quick answer at the best price

for any assignment or question with DETAILED EXPLANATIONS!

Comments

No comments. Be the first!
LATEST TUTORIALS
APPROVED BY CLIENTS