Question #36792

The United States purchased Alaska in 1867 for $7.2M (where M stands for million). Assume that federal tax revenue from the state of Alaska (net federal expenditures) will be $50M in 2012 and that tax revenue started in 1868 and has steadily increased by 3% annually since then. Assume that the cost of capital (or interest rate) is 7%. What is the NPV of the Alaska purchase?
1

Expert's answer

2013-11-11T12:16:51-0500


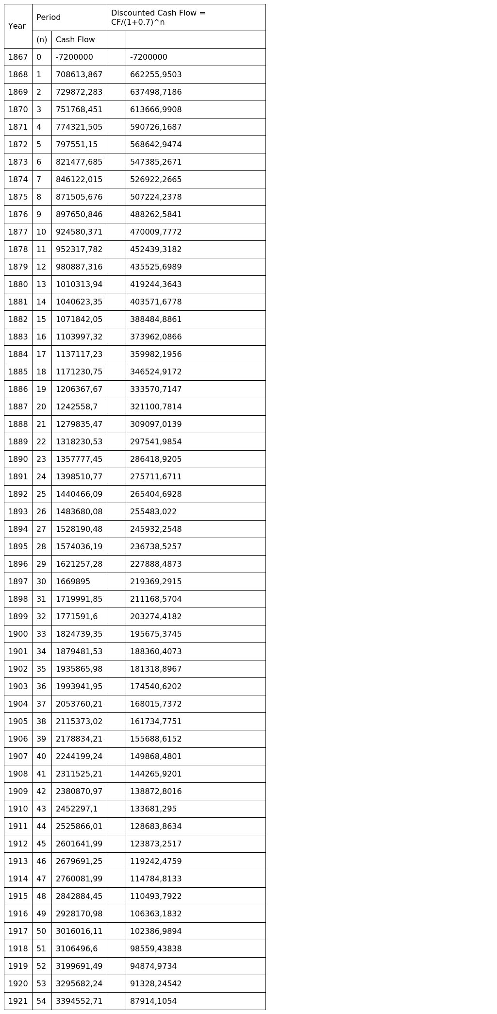
Here we can see the table with calculations of the project NPV, that will be NPV=10,444,698.74\mathrm{NPV} = 10,444,698.74 at the end of the period, so the purchase of Alaska was profitable.

In the third column, which is called "Cash Flow" the last number for the year 2012 is 50000000.

In the line for the year 2011 the number from the column "Cash Flow" equals 50000000/1.03, for year 2010 the previous number was divided by 1.03.

Need a fast expert's response?

Submit order

and get a quick answer at the best price

for any assignment or question with DETAILED EXPLANATIONS!

Comments

No comments. Be the first!
LATEST TUTORIALS
APPROVED BY CLIENTS