Question #61070

What are singlet and triplet carbenes? Draw their structures. Why are the addition reactions of singlet carbenes on carbon-carbon double bonds stereospecific while such reactions of triple carbenes are not? Explain taking suitable examples.
1

Expert's answer

2016-09-06T15:12:03-0400

Question #61070 – Chemistry – Organic Chemistry

Question:

What are singlet and triplet carbenes? Draw their structures. Why are the addition reactions of singlet carbenes on carbon-carbon double bonds stereospecific while such reactions of triple carbenes are not? Explain taking suitable examples.

Answer:

A carbene is a divalent carbon species linked to two adjacent groups by a covalent bond

It possess two non-bonding electrons and six valence electrons

If the non-bonding electrons have anti-parallel spins then singlet carbene

If the non-bonding electrons have parallel spins in different orbitals then triplet carbene

Generally carbenes are expected to be triplet carbenes (Hund's rule) but substituents can change this and in organic chemistry we normally use singlet carbenes

They are electron deficient like carbocations

But they possess a non-bonding pair like carbanion hence can be represented as shown above

The nature of substituents R have profound effects on the electronics of the carbenes and their reactions



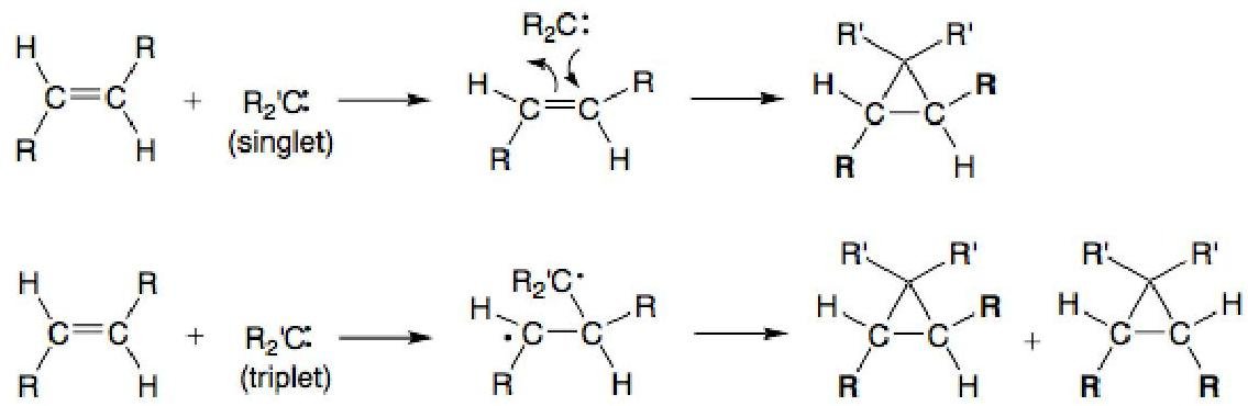
Carbene addition to alkenes

Singlet and triplet carbenes exhibit divergent reactivity. Singlet carbenes generally participate in cheletropic reactions as either electrophiles or nucleophiles. Singlet carbenes with unfilled p-orbital should be electrophilic. Triplet carbenes can be considered to be diradicals, and participate in stepwise radical additions. Triplet carbenes have to go through an intermediate with two unpaired electrons whereas singlet carbene can react in a single concerted step.

So the main differences – triplet carbene react in two steps and intermediate which is formed can be transfers into more stable products as result two products can be

formed. Singlet carbene reacts in one step and configuration of products depends on configuration of alkene.



https://www.AssignmentExpert.com

Need a fast expert's response?

Submit order

and get a quick answer at the best price

for any assignment or question with DETAILED EXPLANATIONS!

Comments

No comments. Be the first!
LATEST TUTORIALS
APPROVED BY CLIENTS