Question #61069

Give mechanism of the following reactions
i) Wolf-Kishner reduction
ii) Claisen condensation
iii) Ozonolysis of 2-butene
1

Expert's answer

2016-09-06T15:04:03-0400

Question #61068 – Chemistry – Organic Chemistry

Question:

Give mechanism of the following reactions

i) Wolf-Kishner reduction

ii) Claisen condensation

iii) Ozonolysis of 2-butene



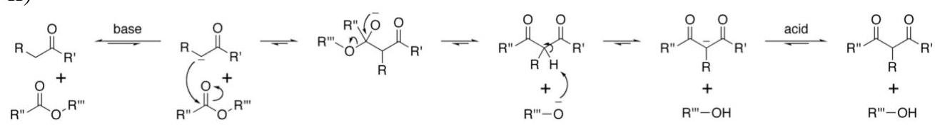
ii)



iii)

https://www.AssignmentExpert.com

Need a fast expert's response?

Submit order

and get a quick answer at the best price

for any assignment or question with DETAILED EXPLANATIONS!

Comments

No comments. Be the first!
LATEST TUTORIALS
APPROVED BY CLIENTS