Question #60926

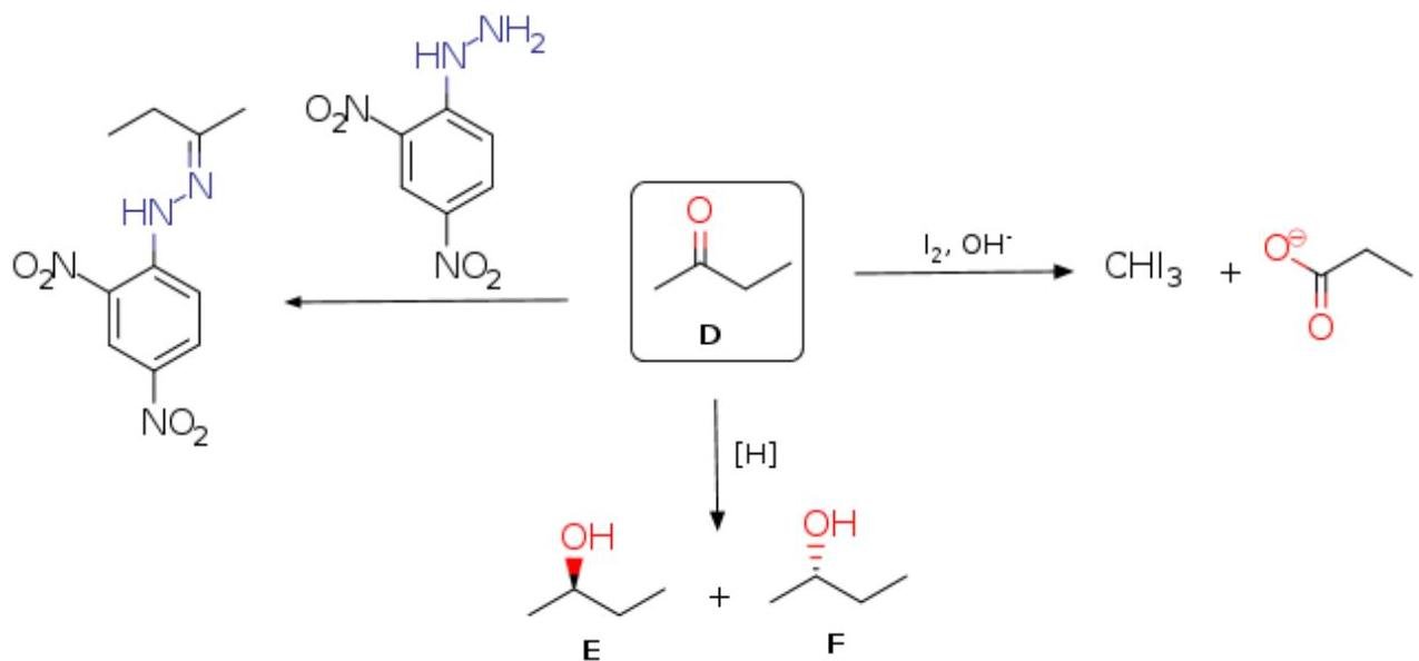
A certain industrial cleaner and paint solvent was distilled to produce a single compound D. When D reacted with 2,4-dinitrophenylhydrazine, an orange precipitate was produced. With alkaline aqueous iodine, D gave a pale yellow precipitate. D did not react either with warm acidified pottasium dichromate(IV) or with warm aqueos bromine. Reduction of D with hydrogen over a catalyst produced an equimolecular mixture of two isomers, E and F with molecular C4H10O.
Suggest structural formulae of D,F and E and explained the reaction involved
1

Expert's answer

2016-07-24T11:44:02-0400

Answer on Question #60926 - Chemistry - Organic Chemistry

Question:

A certain industrial cleaner and paint solvent was distilled to produce a single compound D. When D reacted with 2,4-dinitrophenylhydrazine, an orange precipitate was produced. With alkaline aqueous iodine, D gave a pale yellow precipitate. D did not react either with warm acidified potassium dichromate(IV) or with warm aqueous bromine. Reduction of D with hydrogen over a catalyst produced an equimolecular mixture of two isomers, E and F with molecular C4H10O. Suggest structural formulae of D,F and E and explained the reaction involved

Answer:


Compound D has no hydroxyl groups to be oxidized with potassium dichromate and no unsaturated C-C bonds to react with aqueous bromine.

https://www.AssignmentExpert.com

Need a fast expert's response?

Submit order

and get a quick answer at the best price

for any assignment or question with DETAILED EXPLANATIONS!

Comments

No comments. Be the first!
LATEST TUTORIALS
APPROVED BY CLIENTS