Question #60426

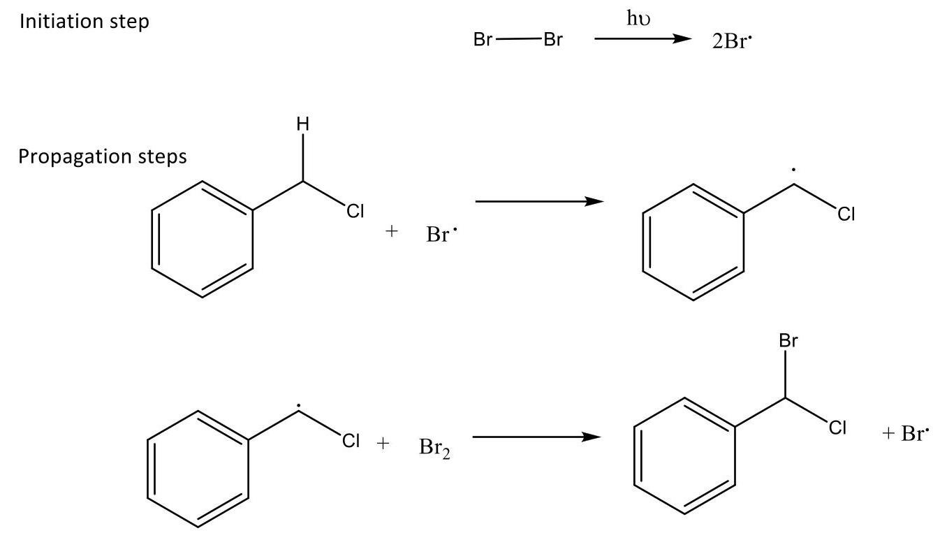
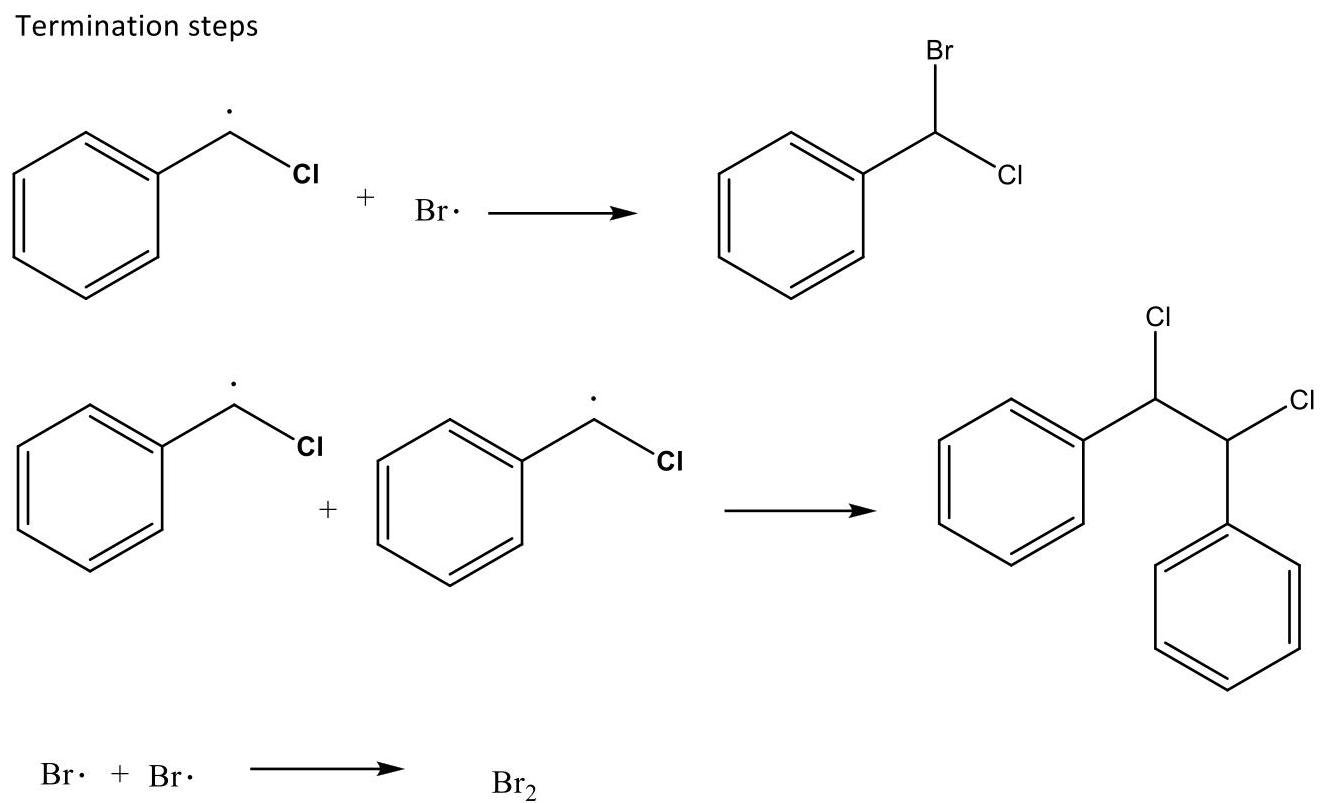
Give the mechanism of the bromination of C6H5CH2Cl in the presence of sunlight.
1

Expert's answer

2016-06-17T12:45:02-0400

Answer on Question#60426 – Chemistry – Organic chemistry

Question: Give the mechanism of the bromination of C6H5CH2Cl in the presence of sunlight.

Answer:



http://www.AssignmentExpert.com/


Need a fast expert's response?

Submit order

and get a quick answer at the best price

for any assignment or question with DETAILED EXPLANATIONS!

Comments

No comments. Be the first!
LATEST TUTORIALS
APPROVED BY CLIENTS