Question #52202

18. Write the reduction products of nitrobenzene obtained under different reaction conditions.

19. What is Gattermann reaction? How is it different from Sandmeyer reaction? Explain giving suitable examples.

20. Explain the following terms: (2+2+1) i) Mutarotation ii) Nucleotide iii) Acid value
1

Expert's answer

2015-07-07T11:18:25-0400

Answer on Question #52202 – Chemistry – Organic Chemistry

Question:

18. Write the reduction products of nitrobenzene obtained under different reaction conditions.

19. What is Gattermann reaction? How is it different from Sandmeyer reaction? Explain giving suitable examples.

20. Explain the following terms: (2+2+1)(2 + 2 + 1) i) Mutarotation ii) Nucleotide iii) Acid value

Answer:

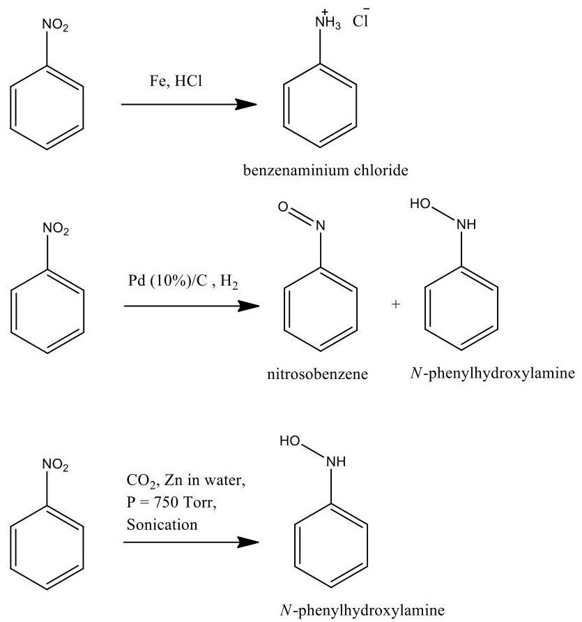
18.



19. Gattermann reaction is the reaction of aldehyde synthesis including the formylation of aromatic compound with cyanic acid.



Sandmeyer reaction is the reaction of the synthesis of arylhalides from the corresponding diazonium salts.



The main differences between these reactions that the first one belongs to the Fridel-Crafst type reaction involving the nucleophilic substitution in the aromatic ring, and Sandmeyer reaction includes the intramolecular redox-process resulting in the elimination of N2\mathsf{N}_2 molecule.

20. Explain the following terms: (2+2+1)(2 + 2 + 1) i) Mutarotation ii) Nucleotide iii) Acid value.

Mutarotation is the phenomenon of change in the optical rotation for anomers, when their equilibrium is changed.



For example glucose exists in two forms, namely α\alpha -D glucose with the higher positive rotation and β\beta -D glucose with the lower one. If one of this form dissolves in water the optical rotation for the solution riches +53+53^{\circ} in any case. This can be explained by the equilibrium occurred between three forms.

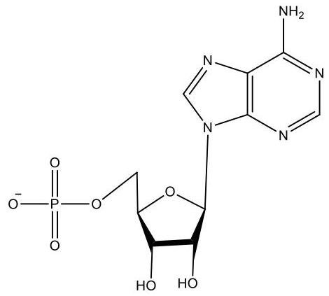
Nucleotide is the subunit of DNA and RNA, namely the building blocks of nucleic acids. It consists of three parts: phosphate, sugar and nitrogenous base.

For example, the structure of the adenosine monophosphate is shown in the figure:



Acid value is the characteristic of carboxylic acids. It equals the mass of KOH in mg which is needed to neutralize 1 g of acid. If there is the solution containing acid, it can be titrated by KOH solution with phenolephtalein and acid value can be determined by the equation:


AN=[56.1×Va×N]/m,AN = [56.1 \times V_a \times N]/m,


where mm is the mass of sample, NN is the molar concentration of titrant, VaV_a is the volume of titrant at the equivalent point.

www.AssignmentExpert.com


Need a fast expert's response?

Submit order

and get a quick answer at the best price

for any assignment or question with DETAILED EXPLANATIONS!

Comments

No comments. Be the first!
LATEST TUTORIALS
APPROVED BY CLIENTS