Question #52179

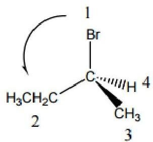
In 2-bromobutane, (5) i) mark the chiral centre, ii) write the structure of its enantiomers in the Fischer projection formula, and iii) classify the enantiomers as R or S.
1

Expert's answer

2015-05-01T09:02:53-0400

Answer on Question #52179 – Chemistry – Organic Chemistry

In 2-bromobutane, (5) i) mark the chiral centre (stereocenter),



ii) write the structure of its enantiomers in the Fischer projection formula, and

iii) classify the enantiomers as R or S

Naming the two enantiomers of 2-bromobutane



(S)-2-bromobutane



(R)-2-bromobutane

https://www.AssignmentExpert.com

Need a fast expert's response?

Submit order

and get a quick answer at the best price

for any assignment or question with DETAILED EXPLANATIONS!

Comments

No comments. Be the first!
LATEST TUTORIALS
APPROVED BY CLIENTS