Question #43830

What has to happen for atoms to form the C - C bond?
1

Expert's answer

2014-07-14T08:29:55-0400

Answer on Question #43830 - Chemistry - Organic Chemistry

Question:

What has to happen for atoms to form the C - C bond?

Answer:

A C - C bond is a covalent bond between two carbon atoms. The most common form is the single bond: a bond composed of two electrons, one from each of the two atoms. The carbon–carbon single bond is a sigma bond and is said to be formed between one hybridized orbital from each of the carbon atoms. In ethane, the orbitals are sp3 hybridized orbitals, but single bonds formed between carbon atoms with other hybridisations do occur (e.g. sp2 to sp2).

Carbon-Carbon Bond Forming Reactions

1. SN2S_{N}2 Displacement with Cyanide



2. Alkylation of Acetylide:



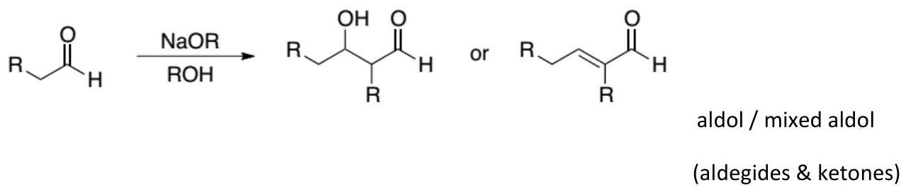
3. Condensation



http://www.AssignmentExpert.com/


Need a fast expert's response?

Submit order

and get a quick answer at the best price

for any assignment or question with DETAILED EXPLANATIONS!

Comments

No comments. Be the first!
LATEST TUTORIALS
APPROVED BY CLIENTS