Question #76684

a) Explain why [Ni(CN)4—]2- is square planar.


b) What is the chelate effect? What is the principal thermodynamic driving force behind the chelate effect?

A pink solid (1) has the empirical formula CoCI3.5NH3.H2O. An aqueous solution of 1 is also pink and rapidly precipitates three moles of AgCI on titration with a AgNO3 solution. When 1 is heated it loses 1 mol of H2O to give a purple solid (2) with the same Co:NH3:Cl ratio as 1. On titration with a AgNO3 solution, 2 precipitates 2 moles of AgCl. Deduce and draw the structures of the two octahedral complexes of Co, 1 and 2.

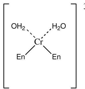
d) State the types of isomerism that may be exhibited by the following complex, [Cr(en)2(H2O)2] 3+, and draw the structure for each isomer

en = 1,2-diaminoethane.
1

Expert's answer

2018-04-30T07:25:24-0400

a) Explain why [Ni(CN)4]2\left[\mathrm{Ni}(\mathrm{CN})4-\right]2- is square planar.

b) What is the chelate effect? What is the principal thermodynamic driving force behind the chelate effect?

A pink solid (1) has the empirical formula CoCl3.5NH3.H2O. An aqueous solution of 1 is also pink and rapidly precipitates three moles of AgCl on titration with a AgNO3 solution. When 1 is heated it loses 1 mol of H2O to give a purple solid (2) with the same Co:NH3:Cl ratio as 1. On titration with a AgNO3 solution, 2 precipitates 2 moles of AgCl. Deduce and draw the structures of the two octahedral complexes of Co, 1 and 2.

d) State the types of isomerism that may be exhibited by the following complex, [Cr(en)2(H2O)2]3+\left[\mathrm{Cr}(\mathrm{en})2(\mathrm{H}2\mathrm{O})2\right]3+ , and draw the structure for each isomer en = 1,2-diaminoethane.

Answer: a) [Ni(CN)4]2\left[\mathrm{Ni}(\mathrm{CN})_{4}\right]^{2-} is square planar, that is explained by the valence bond method, as well as by the force field and the bulk of the ligand. In this case, the ligand is CN\mathrm{CN}^{-} . Besides, with a strong field. In addition, pairing of two electron d-electrons occurs of Ni2+\mathrm{Ni}^{2+} and the formed free cell is occupied by electron pairs CN\mathrm{CN}^{-} .

In the figure (taken from the book General and Inorganic Chemistry, Karapetyants MH, Drakin SI, 1981.), hybridization is shown:



That is, it is realized dsp2\mathrm{dsp}^2 -hybridization (internal) and, hence, the fragment has a flat square structure.

b) The chelating effect is explained and formulated by Schwarzenbach. It is formulated as follows: "The chelating effect is a phenomenon where the stability of a complex is enhanced by the interaction of a metal ion with a bidentate ligand with respect to the stability of the complex during the interaction of a metal ion with a monodentant ligand having the same donor groups." The thermodynamic motive force of the chelating effect is the difference between the logarithms of the stability constants of complexes with bidentate and monodentant ligands. If we consider the problem in more detail, these stability constants are determined by the enthalpy and entropy components of the free energy of the complexes in the interaction of electron pairs of the ligand and the metal ion, and also taking into account the bending of the bonds at the voltage of the ligand molecules and the conjugation energy of the electrons. This explains the formation of "sandwich-compounds".

c) Since in the first case with a pink complex, when titrating with silver nitrate, 3 moles of silver chloride drop out, the cobalt complex, that is, the structure 1, has the form:



and is called aquapentaamminecobalt (III) chloride.

In the case of compound 2, when the complex lost one mole of water, and 2 moles of silver chloride precipitated upon titration of the solution of the complex with silver nitrate, the complex has the form:



and is called chloropentaamminecobalt (III) chloride.

d) In this case, two types of isomerism are possible: cis-trans isomerism and isomerism of the organic ligand, which in this case will be expressed in the position of the groups in the organic ligand. Then the isomers will be 4. They have the following form:



- cis-isomer of complex and



- trans-isomer of complex, where En has structure:



Answer provided by AssignmentExpert.com


Need a fast expert's response?

Submit order

and get a quick answer at the best price

for any assignment or question with DETAILED EXPLANATIONS!

Comments

No comments. Be the first!
LATEST TUTORIALS
APPROVED BY CLIENTS