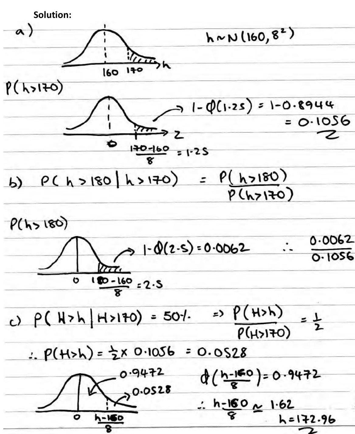
The heights of adult females are normally distributed with mean 160cm and standard deviation 8 cm.
a) Find the probability that a randomly selected adult female has a height greater than 170cm.
b) Any adult female whose height is greater than 170 cm is defined as tall. An adult female is chosen at random. Given that she is tall. Find the probability that she has a height greater than 180 cm.
c) Half of the tall adult females have a height greater than h cm. Find the value of h.
Learn more about our help with Assignments: Chemistry
Comments
Assignment Expert
25.03.20, 19:13
Dear Gnaneshwar Josh, Questions in this section are answered for free.
We can't fulfill them all and there is no guarantee of answering
certain question but we are doing our best. And if answer is published
it means it was attentively checked by experts. You can try it
yourself by publishing your question. Although if you have serious
assignment that requires large amount of work and hence cannot be done
for free you can submit it as assignment and our experts will surely
assist you.
Gnaneshwar Josh
24.03.20, 15:11
A manufacturer fills jars with coffe. The weight of coffee, W grams in
a car can be modelled by a normaldistribution with mean 232 grams and
standard deviation 5 grams. (a) Find P(224) (b) Find R(224) (c) Find
Q(210 and 240) (d) Find P(218) (e) Find R(218)
Finding a professional expert in "partial differential equations" in the advanced level is difficult.
You can find this expert in "Assignmentexpert.com" with confidence.
Exceptional experts! I appreciate your help. God bless you!
Comments
Dear Gnaneshwar Josh, Questions in this section are answered for free. We can't fulfill them all and there is no guarantee of answering certain question but we are doing our best. And if answer is published it means it was attentively checked by experts. You can try it yourself by publishing your question. Although if you have serious assignment that requires large amount of work and hence cannot be done for free you can submit it as assignment and our experts will surely assist you.
A manufacturer fills jars with coffe. The weight of coffee, W grams in a car can be modelled by a normaldistribution with mean 232 grams and standard deviation 5 grams. (a) Find P(224) (b) Find R(224) (c) Find Q(210 and 240) (d) Find P(218) (e) Find R(218)