Question #44997

What is the structure of Glucose, Fructose, Sucrose and Galactose?
1

Expert's answer

2014-08-14T06:23:10-0400

The answer to the question # 44997, Biology, Biochemistry

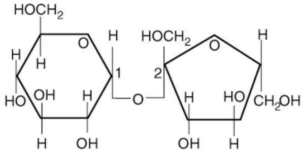
Glucose, galactose and fructose are the six-carbon monosaccharides that have five hydroxyl groups. Disaccharides (such as maltose, lactose, and sucrose) consist of two monosaccharides joined covalently by an OO -glycosidic bond, which is formed when a hydroxyl group of one sugar reacts with the anomeric carbon of the other. Sucrose is found in common table sugar and is composed of glucose and fructose.



Fructose



Glucose



Galactose



Sucrose

http://www.assignmentsexpert.com/


Need a fast expert's response?

Submit order

and get a quick answer at the best price

for any assignment or question with DETAILED EXPLANATIONS!

Comments

No comments. Be the first!
LATEST TUTORIALS
APPROVED BY CLIENTS